UV固化中的氧阻聚
一、氧阻聚机理
1、自由基氧阻聚示意图:

2、氧阻聚机理:
(1)氧气可淬光激发态的引发剂(PI);
(2)与主引发自由基(R•)或链增长自由基反应增长自由基(P-M•)反应形成过氧自由基(POO•)
说明:
第一类是减少光引发阶段时氧阻聚
第二类策略(f和g)包括引进氢给体(DH)和还原剂(RA),促进过氧自由基链转移提供更多的反应性自由基(D•或PO•)
第三类(h)可以尝试分解过氧化物或烷基过氧化物生成更多反应性自由基
二、物理方式抑制氧阻聚
1、无氧气氛固化
(1)惰性气氛保护最早和最广泛防止氧气扩散进入聚合体系的方法;但设备及工艺导致推广难;
(2)氦气:比氮气具有更高的扩散性,置换溶解的氧更有效,但价格高
(3)二氧化碳:比氮气更容易获得、更便宜、密度更大。在二氧化碳或氮气氛围中固化并无显著差异,低至1%的氧气量仍显著降低体系的聚合速度。在二氧化碳气氛中,升高温度会加速固化;空气气氛时,升高温度导致氧气扩散速度加快降低了体系的固化速率。
(4)惰性气氛保护的UV生产线在的许多领域中均有应用,包括家具、PVC地板、有机硅离型涂料等。事实上,由于有机硅丙烯酸酯树脂及低聚物对氧气更大的吸收和渗透,惰性气体保护是用于实现如UV固化有机硅丙烯酸酯类离型纸产品这类项目的技术关键。
Polymer | 渗透系数(×10-10cm/s) | ||
O2 | N2 | CO2 | |
PDMS | 605 | 300 | 3240 |
PTFE | 4.9 | 1.33 | 12.7 |
LDPE | 2.89 | 0.97 | 12.6 |
PMMA | 0.154 | 8.18 | 3.10 |
PETE | 0.03 | 0.001 | 0.029 |
PVA | 0.00052 | 0.00045 | 0.0005 |
2、物理屏障
(1)透明液体或固体对体系进行密封隔离,该方法不适合工业规模的连续涂装线。
(2)浮蜡法
(3)覆膜法
3、光强度
(1)降低氧阻聚的一个简单方法是增加光强,促使引发剂形成更高自由基的浓度,迅速与溶解氧结合并降低其浓度。
(2)当氧气的浓度是下降到约4.2×10 -6mol/L时,与过氧自由基的形成相比,链增长反应变得更有竞争力。
(3)过高的光强可能在链增长完成前将活性自由基快速耗尽,造成聚合反应突然终止。
4、光源
(1)可连续照射紫外线闪光技术可以产生短暂而高强度紫外线辐射脉冲,由此产生浓度极高自由基。
(2)激光也可设计成可发射高强度和窄带宽的光源,几毫秒内可全面固化。价格高和小固化区域,激光固化只在小众特殊领域中应用。
(3)准分子灯发射的真空紫外光(例如172和222nm)由于真空紫外光的穿透率很低仅可以固化1-2μm的超薄涂层;该波段下固化无需光引发剂,相应的引发自由基浓度很低,当反应在空气中进行时有显著臭氧产生。
三、化学方式抑制氧阻聚
1、光引发剂
(1)分为裂解型(I)和夺氢型(II)两大类
(2)I型引发剂吸收辐射从激发三线态断裂以提供自由基

裂解型(I):




夺氢型(II):

在II型系统中,光敏剂吸收光提供了一个激发态三线态,共引发剂发生电子转移形成激态复合体,而后质子转移产生两个自由基:一是羰类自由基和来自氢给体的自由基。
聚合反应几乎是由氢给体产生的自由基(D•)独家发起,而羰基自由基受到空间位阻和电子离域的限制。
II型体系经常被认为在光聚合中减少氧阻聚,这可以归因于氢给体(尤其是胺和硫醇)的存在降低的氧分子的浓度或与生成的过氧化自由基反应。
2、惰性分子

热稳定较好的肟酯(PDO)可以高效光裂解产生自由基和CO2。
肟酯是成功的应用在液晶显示器(LCD)彩色滤光器,在空气中无需保护膜,直接进行通过掩模曝光处理。
肟酯光吸收能力小于其他光引发剂,但因克服氧阻聚而获得了特别的性能。
类似的还有N-苯基甘氨酸的衍生物。
3、氢给体

烷基过氧自由基不易与丙烯酸反应单体,氢给体(DH)提供了一个氢原子,而烷基过氧自由基可以捕捉氢原子形成新形成的自由基(D•)以重新引发单体聚合,这是一种链转移模式。
(1)胺

需注意:胺与酰基氧化膦光引发剂有着明显的暗反应。
(2)硫醇


(3)其它还原剂
a.有机硼烷
硼烷自由基引发剂的一个特点是大多数均需要氧作为共引发剂,主要问题在于硼烷的稳定性和反应过早。
但硼烷与胺复配后储存稳定和氧阻聚效果均有所提高。

b.有机膦和亚磷酸盐
芳基和烷基磷酸盐也可用于抑制氧阻聚,以类似膦过氧自由基氧化的方式实现。
三烷基磷酸酯对于硫杂蒽酮 II型引发体系系统有明显促进放大效果,在低能量空气中实现完全固化。

4、配方改进
(1)反应性(甲基)丙烯酸酯
基于给给氢剂在抑制氧阻聚方面的应用,可以想到是使用给氢活性单体。通常情况下,可抓氢原子为与富电子杂原子相邻的碳原子如氧、硫或氮,且避免了迁移;抓氢链转移生成的碳自由基通过氧化反应消耗氧气。


(2)高官/超支化丙烯酸酯
高聚合速率与自由基氧化的竞争反应不是高官单体或树脂抑制氧阻聚的决定性因素,而形成独特的聚合网络可能是关键因素。
(3)N-乙烯基酰胺

如N-乙烯基吡咯烷酮(NVP)无论是否有氧还是无氧。显着地增加了与丙烯酸酯共聚聚合速率。
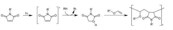
(4)供体/受体型单体

马来酰亚胺/乙烯基醚的组合是一个有希望的替代丙烯酸树脂的新体系。但仍存在一些问题:存储稳定性、马来酰亚胺的重结晶、刺激性等。


